

楼板协调两侧的主结构时,面内将受到较大的水平力,包括轴力和剪力。楼板面内承受拉力或者压力,相对来说,比较容易计算,但面内抗剪的问题,其实并不简单。通常的做法是,按《混凝》或《高规》中梁或墙的抗剪承载力计算公式进行复核。
但这样做,有无问题呢?它们的抗剪机理是否一致呢?
先来看梁的受剪机理。翻看教材,抗剪破坏分为斜压破坏、剪压破坏以及斜拉破坏。
简单粗暴(并不准确)来说,梁的跨高比较小时,发生斜压破坏,这种破坏多发生在剪力大而弯矩小的区段,以及腹板很薄的梁内。在这种破坏机制下,受剪承载力取决于混凝土抗压强度,是斜截面承载力中最大的。
梁的跨高比适中,梁截面中的剪力和弯矩均可能其控制作用,这种破坏由拉区边缘的裂缝开始,然后延伸形成斜裂缝,剪压区高度逐渐减小,当最终剪压区混凝土破坏,斜截面承载力丧失。
梁的跨高比更大的时候,截面破坏由弯矩控制,受拉引起的垂直裂缝一旦出现,就迅速向压区延伸,斜截面承载力随之丧失。混凝土楼板承受横向荷载的破坏模式就属于这种情况。它的承载力是由弯矩起控制作用,所以,在规范中,我们主要对楼板的正截面承载力进行计算,对斜截面承载力,通过构造措施(比如楼板厚度,跨厚比要求),是可以天然保证的。
无论是规范,还是教材,梁的受剪承载力推导均是基于剪压破坏这种模式得到的。给出的抗剪截面承载力限值,也是基于剪压破坏的。
但对跨高比较小的构件,比如上面提及的楼板面外抗剪验算,跨高比很多情况下,是小于1.0的,破坏模式应该是斜压破坏才对。也就是说,抗剪承载力上限应该更高。另外,斜压破坏的抗剪承载力计算公式,是否应该有所不同呢
从受力机制来看,长墙肢的面内受剪似乎与上文提到的楼板面内受剪很接近?如果把剪力墙旋转90,边缘构件看作梁的话。但是,规范给出的剪力墙抗剪承载力计算公式,其实是兼顾了长墙肢和短墙肢的,如果按此计算楼板面内抗剪的话,针对性不强。
那怎么办呢?
如果要提供计算依据的话,个人认为,楼板面内抗剪验算与深梁斜截面抗剪验算最接近。

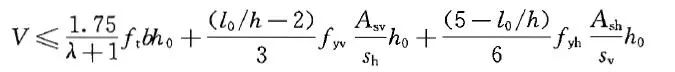
《混规》附录给出的深受弯构件斜截面受剪承载力计算公式如下:

这个公式有什么不同呢?
1)当跨高比不大于2.0时,计算剪跨比取0.25,也就是说,混凝土部分前面的系数为1.4;如果按梁的公式来算,此系数为0.875,按墙来算,此系数为0.5.系数变大的原因,即是随着跨高比的减小,剪切破坏模式由剪压型向斜压型过渡,混凝土项在受剪承载力中所占比例增大。
2)抗剪承载力同时与水平钢筋与竖向钢筋相关,当跨高比等于5.0时,只有竖向分布钢筋(箍筋)参与受剪;而当跨高比较小(小于2.0,则取2.0)时,只有水平分布筋能发挥有限的受剪作用。以2.0为例,水平钢筋项前面的系数为0.5,这一点与梁或墙的抗剪计算公式有很大不同。
同时,规范还对深受弯构件的受剪截面承载力进行复核,换算的剪压比依然为0.15,依然是偏安全考虑。假定混凝土强度为C30,0.15fc基本与1.4ft相当,也就是说,抗剪承载力计算时,钢筋的作用基本可以忽略。如果出现抗剪不足,只能增大构件截面或者提高混凝土强度。
另外,为了保证面外稳定性,规范还对高厚比及跨高比限值进行了规定,即不大于25.
试验表明,当仅配有两层钢筋网时,如果网与网之间未设拉筋,由于钢筋网在深梁平面外的变形未受到专门约束,当拉杆拱拱肋斜向压力较大时,有可能发生沿深梁中面劈开的侧向劈裂型斜压破坏,故应在双排钢筋网之间配置拉筋。楼板配筋,不专门设拉筋,从这个角度来看,钢筋的作用不应考虑。
以对3m宽,120mm厚的楼板为例,其最大面内抗剪承载力为1.4X120X0.8X3000=403kN.如果要求不出现斜裂缝,规范也给出了参考值,即0.5ftkXbXh0=288kN.(注意h0=0.8X3m)
如果注意到《抗规》附录E关于矩形平面抗震墙结构框支层楼板设计要求的一些规定,我们又会得到一些新的启发。

此处验算的也是楼板面内的抗剪承载力。在公式E.1.2中,剪压比相当于0.1/0.85=0.118,是偏保守的,这是由框支层楼板的重要性决定的。公式E.1.3不考虑楼板的混凝土作用,仅按穿过剪力墙的水平钢筋验算。这是一个什么样的机理呢?

这种情况考虑的是,地震作用下,混凝土大开裂,承担传递剪力的担子全部由钢筋承担。根据程懋堃大师《创新思维结构设计》所述,按照剪摩擦理论计算时,受剪面钢筋fy应乘以0.7,我们规范计算的钢筋面积偏小。
那对本文开头所述的薄弱区楼板,面内最大抗剪承载力能否按剪摩擦理论计算呢?如果可以,3m宽的板跨,按10@150双层配筋,最大抗剪承载力为791.28kN.事实上,在混凝土大开裂的情况下,钢筋是可以提供791.28kN的承载力的,但在这种情况下,楼板(面内)刚度大大降低,相当于仅由钢筋构成的软连接(往复作用下,混凝土会逐渐剥落),已无法协调两侧的结构体共同变形,共同受力,各结构体(参考文章开头的结构平面布置图)很可能因为独木难支而失稳。这是我们无法接受的。
所以,对薄弱区楼板,面内最大抗剪承载力只能为1.4ftbh0,或者考虑为0.15fcbh0.
我看到一些超限报告在分析中震楼板应力一节,剪应力较大的时候,比如超过0.15fck,便增配钢筋(比如将10@150调整为12@150),全然不顾抗剪承载力的上限值,这其实是非常不妥当的。