一、生活给水系统采用气压给水设备供水时,应符合下列规定:
1.气压水罐内的最低工作压力,应满足管网最不利处的配水点所需水压。
2.气压水罐内的最高工作压力,不得使管网最大水压处配水点的水压大于0.55MPa。
3.水泵(或泵组)的流量(以气压水罐内的平均压力计,其对应的水泵扬程的流量),不应小于给水系统最大小时用水量的1.2倍。
4.气压水罐的调节容积应按下式计算:

式中: Vq2气压水罐的调节容积(m);
qb水泵(或泵组)的出流量(m/h);
a安全系数,宜取1.0~1.3;
nq水泵在1h内的启动次数,宜采用6次~8次。
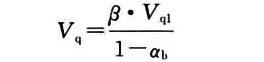
5.气压水罐的总容积应按下式计算:

式中:Vq气压水罐总容积(m);
Vq1气压水罐的水容积(m),应大于或等于调节容量;
b气压水罐内的工作压力比(以绝对压力计),宜采用0.65~0.85:
气压水罐的容积系数,隔膜式气压水罐取1.05。
二、水泵宜自灌吸水,并应符合下列规定:
1.每台水泵宜设置单独从水池吸水的吸水管;
2.吸水管内的流速宜采用1.0m/s~1.2m/s;
3.吸水管口宜设置喇叭口;喇叭口宜向下,低于水池最低水位不宜小于0.3m;当达不到上述要求时,应采取防止空气被吸入的措施;
4.吸水管喇叭口至池底的净距,不应小于0.8倍吸水管管径,且不应小于0.1m;吸水管喇叭口边缘与池壁的净距不宜小于1.5倍吸水管管径;
5.吸水管与吸水管之间的净距,不宜小于3.5倍吸水管管径(管径以相邻两者的平均值计);
6.当水池水位不能满足水泵自灌启动水位时,应设置防止水泵空载启动的保护措施。
三、当每台水泵单独从水池(箱)吸水有困难时,可采用单独从吸水总管上自灌吸水,吸水总管应符合下列规定:
1.吸水总管伸入水池(箱)的引水管不宜少于2条,当1条引水管发生故障时,其余引水管应能通过全部设计流量;每条引水管上都应设阀门;
2.引水管宜设向下的喇叭口,喇叭口的设置应符合本标准第3.9.5条中吸水管喇叭口的相应规定;
3.吸水总管内的流速不应大于1.2m/s;
4.水泵吸水管与吸水总管的连接应采用管顶平接,或高出管顶连接。
四、生活用水高位水箱应符合下列规定:
1.由城镇给水管网夜间直接进水的高位水箱的生活用水调节容积,宜按用水人数和最高日用水定额确定;由水泵联动提升进水的水箱的生活用水调节容积,不宜小于最大时用水量的50%;
2.水箱的设置高度(以底板面计)应满足最高层用户的用水水压要求;当达不到要求时,宜采取局部增压措施。
五、 生活用水中间水箱应符合下列规定:
1.中间水箱的设置位置应根据生活给水系统竖向分区、管材和附件的承压能力、上下楼层及毗邻房间对噪声和振动要求、避难层的位置、提升泵的扬程等因素综合确定;
2.生活用水调节容积应按水箱供水部分和转输部分水量之和确定;供水水量的调节容积,不宜小于供水服务区域楼层最大时用水量的50%;转输水量的调节容积,应按提升水泵3min~5min的流量确定;当中间水箱无供水部分生活调节容积时,转输水量的调节容积宜按提升水泵5min~10min的流量确定。