道路中线测量:就是将已确定的道路中线位置测设于实地,并用木桩标定之。
任务:测设道路的主点、中桩测设、道路转向角测量以及里程桩手簿的绘制

一、道路主点的测设
1. 主点测设数据的准备
(1) 图解法
当道路规划设计图的比例较大,道路主点附近有较为可靠的地物点时,可直接从设计图上量取数据。

A、B为原有道路的检修井,1、2、3为设计道路的主点,欲用距离交会法在地面上测定主点的位置,可依比例尺在图上量出S1、S2、S3、S4、S5,即为主点的测设数据。
(2) 解析法
当道路规划设计图上已给出道路主点坐标,而且主点附近有测量控制点,可以用解析法求出测设所需数据。

图中,A、B、C等为测量控制点,1、2、3等为道路规划的主点,根据控制点和主点的坐标,可以利用坐标反算公式计算出用极坐标法测设主点所需的距离和角度。
2. 主点的测设
道路主点测设是利用上述准备好的数据,采用直角坐标法、极坐标法、角度交会法和距离交会法等将道路主点在现场确定下来。具体测设时,各种方法可独立或配合使用。
主点测设完毕后,必须进行校核工作。校核的方法是:通过主点的坐标,计算出相邻主点间的距离,然后实地进行量测,看其是否满足工程的精度要求。
在道路建筑规模不大且无现成地形图可供参考时,也可由工程技术人员现场直接确定主点位置。
交点的测设
(1)根据与已有地物的关系测设交点
定义:路线的转折点,即两个方向直线的交点,用JD来表示
如下图所示,在一些有固定建筑物的地区,可根据设计交点与建筑物的位置在地形图上事先量出交点到建筑物的距离,在现场用距离交会法或直角坐标法测设出交点的实际位置。

(2)根据导线点的坐标和交点的设计坐标测设交点
按导线点的已知坐标和交点的设计坐标,事先算出有关测设数据,按极坐标法,角度交会法或距离交会法测设交点,如下图,首先计算出A8到JD16之间的距离D,以及夹角,然后用极坐标法测设交点D16。

(3)穿线放线法测设交点
当线路主点不能直接测设出、且定测中线离初测导线不远时,常采用此方法。
(a) 放点
放点常用的方法有极坐标法和支距法。

(b)穿线


(c)交点:打骑马桩定交点

转点的测设
转点 ZD定义:当相邻两交点互不通视时,需要在其连线测设一些供放线、交点、测角、量距时照准之用的点。
分为:在两交点间测设转点、在两交点延长线上测设转点
1.在交点间设转点
ZD为粗略定出的转点位置。将经纬仪置于ZD,用正倒镜分中法延长直线JD5ZD于JD6。若JD6与JD6重合或量取的偏差在路线容许移动的范围内,则转点位置即为ZD,这时应将JD6移至JD6,并在桩顶上钉上小钉表示交点位置。


当偏差超过容许范围或JD6不许移动时,则须重新设置转点。
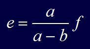
设e为ZD应横向移动的距离,仪器在ZD用视距测量方法
测出距离a、b,则

将ZD沿偏差的相反方向横移至ZD。将仪器移至ZD,延长直线JD5ZD看是否通过JD6或偏差小于容许值,否则应再次设置转点,直至符合要求为止。

2.在延长线上设转点
设置似前



二、中桩测设
从道路的起点开始,沿中线设置整桩和加桩,这项工作称为中桩测设。
每隔某一整数设置一桩,这种桩叫整桩。整桩间距为20米、30米或50米。
在整桩间如有地面坡度变化以及重要地物(铁路、公路、桥梁、旧有道路等)都应增设加桩。
整桩和加桩的桩号是它距离道路起点的里程,一般用红油漆写在木桩的侧面。
例如某一加桩距道路起点的距离为3154.36米,则其桩号为3+154.36,即公里数+米数。




三、道路转向角测量
转角:交点处后视线的延长线与前视线的夹角,以表示 。
转角有左右之分,位于延长线右侧的,为右转角;位于延长线左侧的,为左转角。在路线测量中,转角通常是通过观测路线右角(测回法)计算求得。


路线转角的测设
右角的测定方法:采用测回法;
限差要求:高速公路、一级公路限差为20秒以内,二级及二级以下公路限差为60秒以内。
夹角的分角线测设

为了保证测角的精度,还须进行路线角度闭合差的检核

四、绘制道路里程桩图
在中桩测设和转向角测量的同时,应将道路情况标绘在已有的地形图上,如无现成地形图,应将道路两侧带状地区的情况绘制成草图,这种图称为里程桩图(或里程桩手簿。)
带状地形图的宽度一般以中线为准左、右各20m,如遇建筑物,则需测绘到两侧建筑物,并用统一图示表示。
测绘的方法主要用皮尺以距离交会法或直角坐标法为主进行,也可用皮尺配合罗盘仪以极坐标法进行测绘。

施工控制桩的测设
(一)、平行线法

(二)延长线法
