01 防倒塌设计
我国的结构抗倒塌设计,最早还要追述上世纪70年代就已提出的大震不倒的抗震设计基本准则,根据二阶段的设计要求,主要从限制结构变形和采取必要的抗震构造措施来实现,主要属于概念设计范畴。
而随着911恐怖事件、512汶川大地震的发生,房屋倒塌所造成的巨大危害和负面影响被进一步认知,结构连续倒塌的概念和防连续倒塌的设计方法也得到了更多关注。

911恐怖事件(左);5.12汶川大地震(右)
结构连续倒塌,指结构在偶然荷载(如强震、撞击、爆炸、火灾等非常规荷载)作用下发生局部破坏而形成初始损伤,导致结构发生内力重分布而形成连锁反应,最终致使结构部分或全部倒塌。连续倒塌一旦发生,往往会造成很严重的生命财产损失。
02 钢结构抗倒塌需求
钢结构在大跨、复杂空间结构中有广泛应用,随着形体造型艺术的不断提升,以及建筑功能要求的不断增加,实际工程往往存在跨度大、布置不规则性强、长细比较大等问题,可能会造成结构抗倒塌能力的不足,需要进行特殊的安全性验证。
对近年来钢结构倒塌事故进行梳理,发现大跨厂房、复杂公建的倒塌占多数,造成倒塌的原因有撞击爆炸、火灾、过载、局部缺陷、施工不当等。这些工程事故,是钢结构抗倒塌设计的指导和依据。

体育场施工不当致局部坍塌(左);在建厂房倒塌(右)
03 抗连续倒塌设计方法
国内外规范给出的抗连续倒塌设计方法有:概念设计法、拉结强度设计法、拆除构件法、关键构件设计法。其中,拆除构件法的可操作性最强,主要通过拆除某个构件,分析剩余结构的响应,来评估结构的抗倒塌能力。
初始损伤所在的构件、以及其他重要构件,可作为待拆构件。
04 待拆构件的选择
虽然结构中的所有构件都可能受偶然荷载作用而形成初始损伤,并非每个构件失效都会引起连续倒塌,对所有构件都进行拆除分析还会极大降低分析效率。所以,需要采用合适的方法选取待拆构件。
实际工程中,概念判别和敏感性分析结合的方法应用较多。前者是通过结构体系、传力体系、受力情况分析进行构件初选;后者则是通过软件计算进行敏感性分析,量化杆件的重要性。
如以下某大悬挑钢结构案例中,首先通过概念判断,筛选出西南侧连廊部位、东侧电梯井部位、北侧悬挑部位等几个主要支承区域内的重要构件。

整体结构模型

连廊西侧边榀桁架初选重要构件
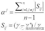
随后,对这些重要构件进行敏感性分析,得到各构件的重要性系数。重要性系数计算公式如下:

式中,j为拆除构件j的重要性系数;n为构件数量;Sij为结构中任意构件i对应于构件j移除的敏感性指标;、分别为正常情况下、结构受损后构件i的响应。
利用通用有限元软件建立模型,施加竖向荷载,材料强度采用标准值,分别进行正常情况下和结构受损后(拆除构件j),各构件响应的数值,就能算得构件j的重要性系数。本案例中,构件响应选用了应力比进行计算。
下表是连廊西侧边榀桁架中部分构件的重要性系数计算结果。由结果可见,端支座斜杆a-1的重要性较高,可作为待拆构件。

05 动力响应分析
完整结构产生局部失效应力重分布结构达到稳定受力状态,是一个动态过程,涉及大应变、大变形以及钢构件的失稳问题,因此适合采用动力非线性方法进行模拟。

失稳模拟动画
选用Ls-dyna软件,采用纤维梁单元建立杆系模型,采用非线性材料并设定失效应变,立即移除待拆构件来考虑局部失效对剩余结构造成的显著影响。分析发现,构件拆除后,结构未发生倒塌或过大变形;杆件最大塑性应变为未超过失效应变,因而未发生连续性破坏。结果表明,端支座斜杆a-1突然失效情况下,结构仍具有抗倒塌能力。

构件拆除稳定后的结果整体变形(左);塑性应变分析(右)
通过数值模拟,还可以研究结构在过载下的破坏情况,分析结构的极限承载能力。

过载下的结构破坏